Encyclopaedia Index
TITLE : TURBULENT PIPE FLOW OF BINGHAM PLASTICS
BY : CHAM Development Team - M R Malin
FOR : Validation of Turbulence & Non-Newtonian Models
PURPOSE OF THE CALCULATIONS:
- The main objective of the calculations is to validate the low-Re
turbulence models and non-Newtonian models for the flow of Bingham-
plastic fluids in pipes.
- Bingham plastic fluids are time-independent viscous fluids for
which the apparent viscosity decreases with shear rate, and motion
only commences when the yield stress is exceeded.
- The flow of Bingham plastics in pipes is of relevance in the transport
of granular suspensions, slurries, sewage sludge, muds and paints.
- Calculations are made to calculate the frictional resistance,
along with the fully-developed velocity profile, by use of
the single-slab solver.
- The turbulence is represented by use of two different low-Re
turbulence models, namely: the Lam-Bremhorst k-e model and
the Wilcox k-w model.
- Computations are performed for fully-developed laminar and
turbulent flow.
- The parameters are: the Fanning friction factor f; the Bingham
Reynolds number Re=rho*Wb*D/K, and the Hedstrom number, He=Y*Re,
where Y is the Yield number defined by Y=Tauy*D/(K*Wb) where Tauy
is the yield stress, K is the consistency, D is the pipe diameter,
and Wb the bulk velocity.
1. FRICTIONAL RESISTANCE: LAM-BREMHORST LOW-RE K-E MODEL
2. FRICTIONAL RESISTANCE: WILCOX LOW-RE K-W MODEL
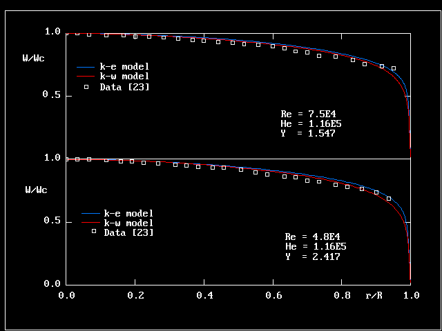
3. MEAN VELOCITY PROFILES FOR BENTONITE SLURRIES
4. MEAN VELOCITY PROFILES FOR ALUMINA-WATER SLURRIES
5. MEAN VELOCITY PROFILES AT VARIOUS HEDSTROM NUMBERS FOR RE=1E5
6. VARIATION OF TRANSITIONAL RE WITH HEDSTROM NUMBER