Encyclopaedia Index
TITLE: The risk assessment of an ammonia intoxication caused by the wreck on the plant
in town conditions
BY: B.S.Mastryukov, A.V.Ivanov - Moscow State Institute of Steel and Alloys
DATE: 1998
PHOENICS VERSION: 2.1.3
DETAILS:
- Cartesian computational grid
- Three-dimensional steady flow
- Unsteady atmospheric diffusion of the toxic vapours
NOTES:
- The problems of industrial safety and the risk assessment have received increasing
attention in the past decade. It is mostly due to high rates of the development of all
industry branches and as result high frequency of crashes and extraordinary situations all
over the world. It is supposed that no decreasing of these occurrences to be expected in
the near future.
- PHOENICS has been used to calculate the dispersion of ammonia vapours in town conditions
resulted from the tanks wreck leakage of the liquefied toxic gas.
- The building complex of the real distrct in Moscow was considered.
- Simulation predicts the air flow and transient concentration fields near buildings.
- Buoyancy effects caused by lighter-than-air ammonia vapours as well as coriolis forces
are neglected.
- The standard embedded in the PHOENICS k-L model was employed to describe the atmospheric
turbulent transfer in the building complex.
- In estimating of the length scale, the distance from the nearest wall (DISWAL) was used.
- The influence of atmospheric stability was taken into account by means of various
prescribed vertical temperature distributions in the computational domain and various
boundary conditions at inlet regions.
- From the reasonable comparison between computed and observed results which were obtained
for the case of an isolated rectangular-shaped model building it is concluded that the k-L
turbulence model, as well as the standard k-e model, can give the results with acceptable
degree of accuracy.
- Obtained results as concentration fields were used to calculate fields of damage of an
intoxication at various meteorological conditions by means of the EMERGENCY code that
represents a written in DELPHI 2 application running under WINDOWS 95.
- The EMERGENCY allows performing the quantitative risk assessment of an influence of
various hazardous factor fields (e.g. concentration of toxic gases, thermal fields,
explosion shock waves and other) using the probit analysis.
- The PHOENICS result file as well as another file format can be easily adopted as the
EMERGENCY input file. The EMERGENCY output file has compatible with the PHI file format so
user can employ the PHOTON to display the result.
The pictures are as follows:
- Figure 1. Scheme of the building complex
and location of the ammonia vapours source.
- Figure 2. 6 m height horizontal wind field
(south-east wind direction, wind speed at height 10 m - 4.5 m/s, neutral atmosphere).
- Figure 3. Surface with ammonia vapours
concentration of C=0.5 g/m**3, 2 m height contours of ammonia vapours concentration and
some air particle trajectories originating in the south inlet region at height 6 m above
ground in 30 min after leakage (south wind direction, wind speed at height 10 m - 4.5 m/s,
neutral atmosphere).
- Figure 4. Vertical contours of ammonia
vapours concentration and air particle trajectories passing over the ground source of
toxic vapours in 30 min after leakage (south-east wind direction, wind speed at height 10
m - 2.5 m/s, neutral atmosphere).
- Figure 5. EMERGENCY produced damage field
of the initial response on the intoxication (e.g. eye and throat irritation) at height 2 m
above ground (south-east wind direction, wind speed at height 10 m - 6.5 m/s, stable
atmosphere).
- Figure 6. EMERGENCY produced damage field
of the medium harm intoxication at height 2 m above ground (south-east wind direction,
wind speed at height 10 m - 6.5 m/s, stable atmosphere).
- Figure 7. EMERGENCY produced potential
danger field of the initial response on the intoxication which is calculated by summation
of each damage field with "weight" coefficients representing the realization
probability of a relevant wind direction, wind speed range and atmospheric stability.
- Figure 8. Comparison of the field
experiment data with the result obtained with the k-L turbulence model (The contours were
plotted for the normalized ground level concentration CU/Q*10**3, where C - pollutant
concentration, g/m**3; U - wind speed at 4 m height in the approaching flow, m/s; Q -
point source emission rate, g/s. The black contours show the field experiment data. The
obstacle dimension were W= 15 m, L= 2.5 m, h= 3.2 m..
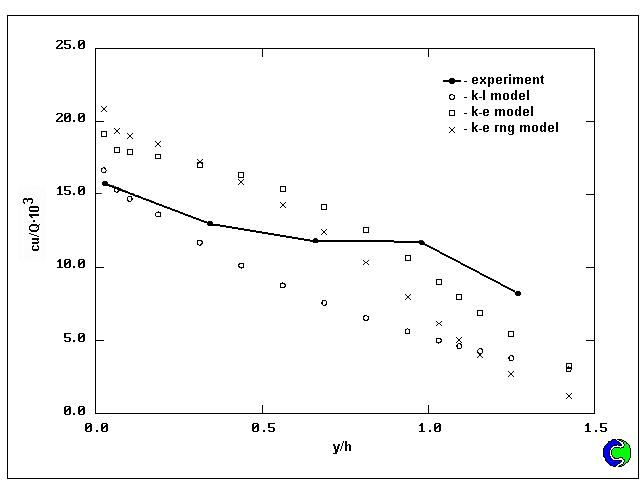
- Figure 9. Comparison of the experimental
ground level normalized concentration along the centerline with results computed using
three different turbulent closure models.
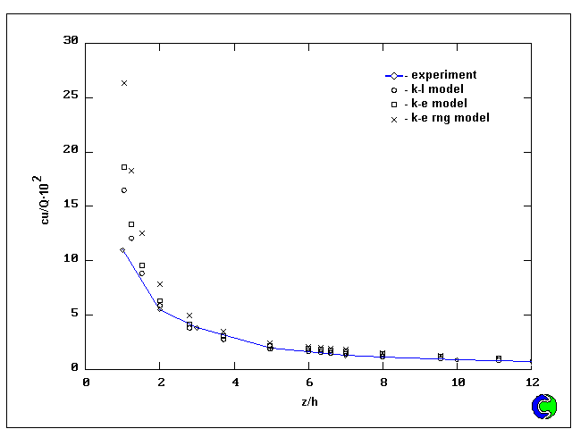
- Figure 10. Comparison of the experimental
vertical normalized centerline concentration profile at z/h=6.6 with results computed
using three different turbulent closure models (The experimental error for all presented
field data was 30-35%).